หน้าแรก
สาส์นจากอธิการบดี
ประวัติและความเป็นมา
ปรัชญา/วิสัยทัศน์/พันธกิจ/ยุทธศาสตร์
หลักสูตรการศึกษา
หลักสูตรปริญญาตรี
หลักสูตรปริญญาโท
หลักสูตรปริญญาเอก
บริการคณาจารย์
เข้าสู่ระบบกรอกเกรดออนไลน์
ระบบตารางเรียน-ตารางสอน
แนวทางปฏิบัติ
บริการนิสิต
ระบบตารางเรียน-ตารางสอน
ตรวจสอบผลการเรียน
ประเมินคณาจารย์ออนไลน์
ขั้นตอนการขึ้นทะเบียนบัณฑิต
การใช้งานอินเตอร์เน็ต
ปฏิทินการศึกษา
ข่าว
ติดต่อเรา
หน้าแรก
จ้างงาน เด็กจบใหม่
จ้างงาน เด็กจบใหม่
29 กันยายน 2020
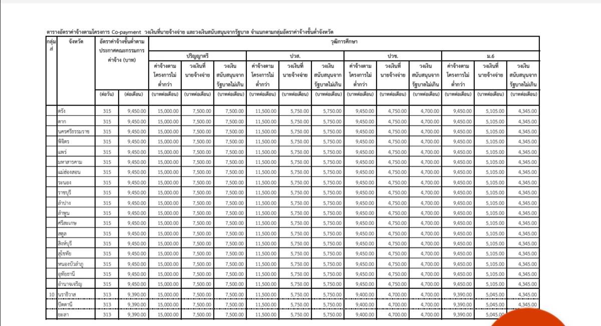
พร้อมพบกับโครงการ CO-Payment (จ้างเด็กจบใหม่)
"รัฐช่วยเสริม เอกชนช่วยสร้าง"
>>>Click Here For Dowload Files<<<